继12月雅思考试改版后,近日开放了2021年7-12月雅思纸笔考试和4-12月用于英国签证及移民的雅思纸笔考试报名。

雅思考点新增
雅思考试的最新动向,12月考点有增加。
- 北京、武汉、广州、深圳、重庆、成都、杭州等地机考中心12月26日-31日新增雅思考试及用于英国签证及移民的雅思考试场次,现已开放报名;
- 宁波大学雅思考点新增2021年2月6日雅思考试及用于英国签证及移民的雅思考试,已开放报名;
- 深圳赛格人才培训中心追加12月26日雅思纸笔考试考位,现已开放报名。
大家登录雅思官网查询考位及时抢位。
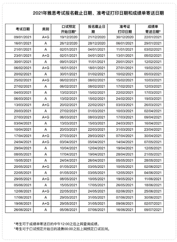
2021年雅思考试时间表
2021年7-12月雅思纸笔考试,4-12月用于英国签证及移民的雅思纸笔考试,现已开放报名。
准备明年考试的同学,收藏好下面的考试时间表哦!



END
转载来源 | 公众号@国际考试圈
排版 | 刘洁
责任编辑 | 葛露
